Barodesy
Introduction and References
- Hypoplasticity for beginners (german version)
- A first insight into hypoplasticity (german only)
- Hypoplasticity for lower intermediate (german only)
- References on Barodesy
- Konzepte der Barodesie - Ergänzungen
Graphical approach to barodesy by D. Kolymbas: Slides and Video below
Utilities and Links
- Implementation in FE Code - UMAT for Abaqus (will soon be online)
Objectives
- Development of Barodesy
- Incoorporation of the intergranular strain concept
- Improved reloading extension
- Numerical implementation and application of Barodesy
Team
- Gertraud Medicus(PI)
- Manuel Bode
- Wolfgang Fellin
- Dimitrios Kolymbas

The Project is funded by the research grant of the Austrian Science Fund (FWF) P 28934-N32 : Reloading in Barodesy

Project Description
Constitutive models are physical theories which link stresses with the resulting deformation and thus should enable a realistic simulation of material behavior. Constitutive modelling is a core subject in geotechnical engineering, as the quality of every numerical simulation depends on the used model. Barodesy, a constitutive model for soil, shows similarities to hypoplasticity and differs from the mainstream approach of elasto-plasticity. It is characterized by its mathematical simplicity and captures many important aspects of soil behavior.
The question ‘what information can be stored in soil?’ can be expressed as follows in mathematical terms: ‘what are the independent variables in a constitutive model?’ In the present form of barodesy, the memory of soil is stored only in two state variables, stress and void ratio. It is astonishing to note how many effects can be described with such a ‘poor’ memory. However, in some cases it is not possible to distinguish between monotonic loading and reloading and consequently it is not possible to describe cyclic loading paths. The aim of this proposal is to extend barodesy to capture reloading. In soil mechanics it is known that changing the direction of loading will lead to a temporary increase of stiffness compared to monotonic loading. The direction of deformation is described by the so-called stretching tensor. Thus, a change of stretching should yield a temporary increase of stiffness.
The underlying hypothesis is that constitutive models, and in this case barodesy, can be designed on the basis of so-called tensorial relations. It is expected to establish a relation that will provide a new and simple way to model (in terms of mathematics) irreversible mechanical behavior. The already introduced barodesy is a convincing new paradigm, and this proposal aims at closing a gap in this respect. The extended barodetic equation will be compared with experimental data as well as with other constitutive models. It is expected to achieve scientific progress in the field of constitutive modelling.

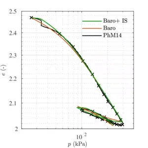
Simulation of an oedometric compression test using barodesy with the intergranular strain concept (IS).
Publications?
References to Barodesy (2009-2016)
- Fellin, W.; Kolymbas, D. (2011): On integrating Barodesy for paths starting from zero stress. In: Pietruszczak, S.; Pande, G.: 2nd International Symposium on Computational Geomechanics (ComGeo II). Rhodes: International Centre for Computational Engineering (IC2E), pp. 519 - 526.
- Fellin, W. (2013): Extension to barodesy to model void ratio and stress dependency of the K0 value. In: Acta Geotechnica 8/5, pp. 561 - 565. (DOI)
- Fellin, W.; Ostermann, A. (2013): The critical state behaviour of barodesy compared with the Matsuoka–Nakai failure criterion. In: International Journal for Numerical and Analytical Methods in Geomechanics 37, pp. 299 - 308. (DOI)
- Fellin, W.; Ostermann, A. (2016): Requirements on the numerics in application of barodesy and hypoplasticity.
In: Hofstetter, G.; Gajo, A.; Kolymbas, D.: EUROMECH Colloquium 572 - Constitutive Modelling of Soil and Rock - Book of Abstracts. Innsbruck: Studia Universitätsverlag. - Kolymbas, D. (2009): Sand as an archetypical natural solid. In: Kolymbas, D.; Viggiani, G.: Mechanics of Natural Solids. Dordrecht, Heidelberg, London, New York, Berlin: Springer, ISBN 978-3-642-03577-7, pp. 1 - 26.
- Kolymbas, D. (2012): Barodesy: a new constitutive frame for soils. In: Géotechnique Letters 2/April-June, pp. 17 - 23. (DOI)
- Kolymbas, D. (2012): Barodesy as a novel hypoplastic constitutive theory based on the asymptotic behaviour of sand. In: geotechnik 35/3, pp. 187 - 197. (DOI)
- Kolymbas, D. (2012): Barodesy: a new hypoplastic approach. In: International Journal for Numerical and Analytical Methods in Geomechanics 36/9, pp. 1220 - 1240. (DOI)
- Kolymbas, Dimitrios (2016): Some aspects of barodesy. In: Salciarini, D.; Silvestri, F.; Tamagnini, C.; Viggiani, G.M.B.; Viggiani, G.: IV International Workshop on Modern Trends in Geomechanics, Assisi, 16.-18. May 2016 - Book of Abstracts. Grenoble: Université Joseph Fourier, pp. 37 - 38.
- Kolymbas, Dimitrios; Medicus, Gertraud (2016): Genealogy of hypoplasticity and barodesy. In: International Journal for Numerical and Analytical Methods in Geomechanics. (DOI)
- Medicus, G. and Kolymbas, D. (2012): Barodesy - A Constitutive Model based on two Rules by Goldscheider, Poster at the European Solid Mechanics Conference (ESMC), Graz, 09.07.2012 - 13.07.2012.
- Medicus, G.; Fellin, W. and Kolymbas, D. (2012): Barodesy for Clay. In:Géotechnique Letters 2/October-December, pp. 173-180. (DOI)
- Medicus, Gertraud (2015): Barodesy and its Application for Clay. Berlin: Logos (= Advances in Geotechnical Engineering and Tunnelling, 20). ISBN 978-3-8325-4055-5. (Weblink)
- Medicus, Gertraud (2016): Barodesy and its application for clay. In: Hofstetter, G.; Gajo, A.; Kolymbas, D.: EUROMECH Colloquium 572 - Constitutive Modelling of Soil and Rock - Book of Abstracts. Innsbruck: Studia Universitätsverlag.
- Medicus, G.; Kolymbas, D.; Fellin, W. (2016): Proportional stress and strain paths in barodesy. In: International Journal for Numerical and Analytical Methods in Geomechanics 40/4, pp. 509 - 522. (DOI)
- Medicus, Gertraud; Fellin, Wolfgang (2016): An improved version of barodesy for clay. In: Acta Geotechnica, pp. 1 - 12. (DOI)
Links
Barodesy: asymptotic behaviour
Simulations of drained and undrained triaxial tests with Barodesy